您身邊的水處理顧問
專注打造環保行業實力品牌
寧經理:18853131830,15553139909
李經理:18615581723
銷售一部:0531-88760590
銷售二部:0531-88786527
工廠地址: 濟南高新區孫村鎮大正路與世紀大道交叉口東50米
銷售地址:山東省濟南市高新區聯合財富廣場1號樓907
雙1,6-亞己基三胺五甲叉膦酸 BHMTPMPA
多氨基多醚基甲叉膦酸 PAPEMP
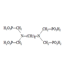
己二胺四甲叉膦酸 HDTMPA
多元醇磷酸酯 PAPE
二乙烯三胺五甲叉膦酸 DTPMPA
乙二胺四甲叉膦酸 EDTMPA
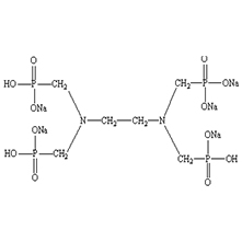
乙二胺四甲叉膦酸鈉 EDTMPS
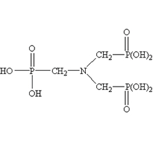
氨基三甲叉膦酸ATMP
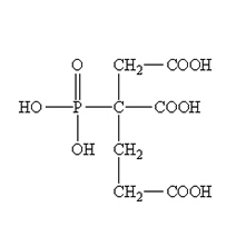
2-膦酸丁烷-1,2,4-三羧酸 PBTCA
2-羥基膦?;宜?HPAA
羥基乙叉二膦酸 HEDP
致力于優化每個水處理項目,打造中國環保行業品牌企業
保護環境是我們每個人的責任和義務
反滲透水處理藥劑
循環水處理藥劑
進口反滲透水處理藥劑
鍋爐水處理藥劑
污水處理藥劑
清洗服務
水處理設備
有機磷酸(鹽)
聚羧酸(鹽)
蒸發器阻垢劑
公司簡介
企業文化
榮譽資質
專利證書
企業風采
企業視頻
聯系我們
銷售二部:0531-88800390
外貿:柳經理 186-1558-7085
廠家地址: 濟南高新區孫村鎮大正路與世紀大道交叉口東50米
魯ICP備11023523號-3
網站部分資源來源于網絡,無法和版權者聯系,無意侵犯,如有侵權請聯系我們刪除
技術支持:達蒙奇網絡